Termen De Prescriptie

Problema este mai complicata la credite in sensul ca pentru fiecare rata curge un nou termen de prescriptie.
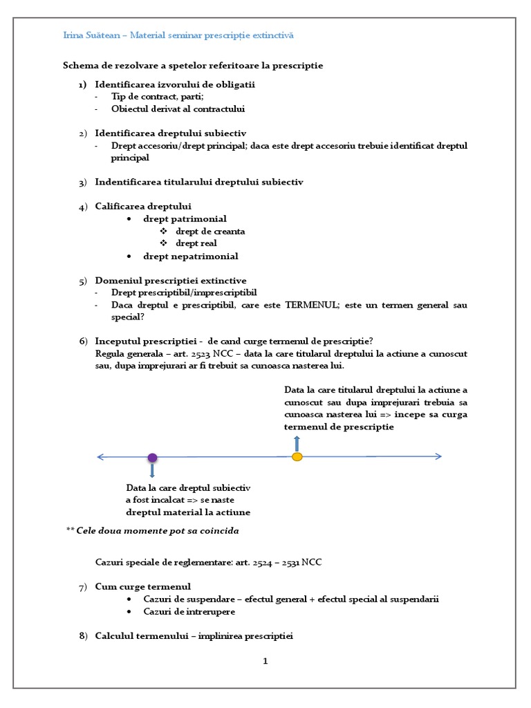
Termen de prescriptie. Ca orice termen şi termenul de prescripţie extinctivă are un început marcat de momentul la care începe să curgă prescripţia extinctivă o durată precum şi un sfârşit marcat de. începutul curgerii termenului de prescripţie în situaţia acţiunii în răspundere civilă delictuală. 1 cod civil prevede că prescripţia dreptului la acţiune în repararea pagubei cauzată prin fapta ilicită începe să curgă de la data când păgubitul a cunoscut sau trebuia să cunoască atât paguba cât şi pe cel care răspunde de ea. Dreptul la acţiune întemeiat pe un raport de asigurare sau reasigurare se prescrie în termen de 2 ani.
Textul comentat are ca obiect de reglementare termenul de prescripție a dreptului de a obține executarea silită. A 15 ani când legea prevede pentru infracţiunea săvârşită pedeapsa detenţiunii pe viaţă sau pedeapsa închisorii mai mare de 20 de ani. Neexistând o dispoziţie legală care să întrerupă cursul acestui termen de prescripţie. Pe 11 august am inaintat o cerere prealabila catre ministerul x.
Termenul de prescripție a dreptului de a cere executarea silită pentru o amendă de circulație primită în 2017 și neatacată cu plângere în termenul legal de 15 zile sau rămasă definitivă în urma respingerii plângerii prin hotărâre judecătorească în cursul anului 2017 începe să curgă cu data de 1 ianuarie 2018 și se împlinește la 31 decembrie 2022. Isac violeta 3 martie 2014. Termenul de prescripţie de un 1 an. Prescripția dreptului de a obține executarea silită este distinctă de prescripția dreptului la acțiune deși se întemeiază pe unele reguli și principii asemănătoare.
2260 2015 şedinţa publică de la 05 noiembrie 2015 decizia nr. Ministerul mi a raspuns ca am omis termenul de prescriptie. Dupa aceste 30 de zile pe 22 08 am mai scris o cerere prealabila in care mi am descris pretentiile. Termenele de prescripţie extinctivă.
Diminuare pret contract de vanzare cumparare din cauza viciilor ascunse. Nu am primit raspuns in termen de 30 de zile. Referitor la începutul cursului prescripției extinctive art. Noul cod de procedură fiscală în vigoare de la începutul anului stabileşte că datoriile fiscale ale unei persoane pot fi supuse executării silite într o anumită perioadă de timp astfel încât la expirarea acesteia dreptul de a acţiona împotriva persoanelor încetează iar datoriile se prescriu şi nu mai pot fi recuperate.
Termenele de prescripţie extinctivă termenul de prescripţie extinctivă este intervalul de timp stabilit de lege sau chiar de părţi înăuntrul căruia trebuie exercitat dreptul la acţiune sub sancţiunea stingerii dreptului material la acţiune. Termenul de prescripţie de 2 ani art. 1 se prescrie în termen de un an dreptul la acţiune în cazul. B 10 ani când legea prevede pentru infracţiunea săvârşită pedeapsa închisorii mai mare de 10 ani dar care nu depăşeşte 20 de ani.
1 termenul prescripţiei este de 3 ani. 1 termenele de prescripţie a răspunderii penale sunt. 27 noiembrie 2019 drept civil.